摘要:2018年執業西藥師中藥學知識一考試真題答案與解析(完整文字版)由希賽網整理,2018年執業西藥師完整真題與答案解析敬請關注希賽網。
一、單項選擇題
1、關于藥物制劑穩定性的說法,錯誤的是( )。
A.藥物化學結構直接影響藥物制的穩定性
B.藥用輔料要求化學穩定,所以輔料不影響藥物制劑的穩定性
C.微生物污染會影響制劑生物穩定性
D.制劑物理性能的變化,可能引起化學變化和生物學變化
E.穩定性試驗可以為制劑生產、包裝、儲存、運輸條件的確定和有效期的建立提供科學依據
1. B
解析:影響中藥制劑穩定性的因素中處方因素包括:①pH;②溶劑、基質及其他輔料的影響。所以輔料影響藥物制劑的穩定性。所以B錯誤。
2、某藥物在體內按一級動力學消除,如果k=0.0346h-1,改藥物的消除半衰期約為( )。
A.3.46h
B.6.92h
C.12h
D.20h
E.24h
2. D
解析:根據公式:t1/2=0.693/k計算,其中t1/2為藥物半衰期。t1/2=0.693/k=0.693/0.0346h-1=20h
3、因對心臟快速延遲整流鉀離子通道(hERGK+通道)具有抑制作用,科引起Q—T間期延長甚至誘發尖端扭轉型自動過速,現已撤出市場的藥物是( )。
A.卡托普利
B.莫沙必利
C.賴諾普利
D.伊托必
E.西沙必利
3. E
解析: 西沙必利屬于促胃腸動力藥,由于其能引起QT間期延長嚴重室性心律失常而已撤市。
4、根據生物藥劑學分類系統,屬于第1V類低水溶性、低滲透性的藥物是( )。
A.雙氯芬酸
B.吡羅昔康
C.阿替洛爾
D.雷尼替丁
E.酮洛芬
4. E
解析:據藥物溶解性和腸壁滲透性對藥物分類,分為第Ⅰ類、第Ⅱ類、第Ⅲ類、第Ⅳ類,其中第Ⅳ類低水溶解性、低滲透性的疏水性分子藥物包括特非那定、酮洛芬、呋塞米。
5.為了減少對眼部的刺激性,需要調整滴眼劑的滲透壓與淚液的滲透壓相近、用作滴眼劑滲透壓調節劑的輔料是( )。
A.羥苯乙酯
B.聚山梨酯-80
C.依地酸二鈉
D.硼砂
E.羧甲基纖維素鈉
5. D
解析:眼用制劑的滲透壓調節劑常用的有氯化鈉、葡萄糖、硼酸、硼砂等。
6.在配制液體制劑時,為了增加難溶性藥物的溶解度,通常需要在溶劑中加入第三種物質,與難溶性藥物形成可溶性的分子間絡合物、締合物和復鹽等。加入的第三種物質的屬于( )。
A.助溶劑
B.潛溶劑
C.增溶劑
D.助懸劑
E.乳化劑
6. A
解析:難溶性藥物與加入的第三種物質在溶劑中形成可溶性分子間的絡合物、締合物或復鹽等,以增加藥物在溶劑中的溶解度,這第三種物質稱為助溶劑。
7.與抗菌藥配伍使用后,能增強抗細菌藥療效的藥物稱為抗菌增效劑。屬于抗菌增效劑的藥物是( )。
A.氨芐西林
B.舒他西林
C.甲氧芐啶
D.磺胺嘧啶
E.氨曲南
7. C
解析:磺胺類藥物的基本結構是對氨基苯磺酰胺,代表藥物為磺胺甲噁唑,磺胺嘧啶。磺胺類藥物阻斷二氫葉酸的合成,甲氧芐啶能阻斷二氫葉酸還原成四氫葉酸,二者合用,可產生協同的抗菌作用。所以甲氧芐啶屬于抗菌增效劑。
8.評價藥物安全性的藥物治療指數可表示為( )。
A.ED95/LD5
B.ED50/LD50
C.LD1/ED99
D.LD50/ED50
E.ED99/LD1
8. D
解析:治療指數(TI)=LD50/ED50
9.靶向制劑叫分為被動靶向制劑、主動靶向制劑和物理化學靶向制劑三大類。屬于物理化學靶向制劑的是( )。
A.腦部靶向前體藥物
B.磁性納米潤德教育整理囊
C.微乳
D.免疫納米球品
E.免疫脂質體
9. B
被動靶向制劑 | 脂質體、微乳、微囊、微球、納米粒 |
主動靶向制劑 | 修飾性脂質體(長循環,免疫,糖基修飾) 修飾性納米乳,修飾性微球 修飾性納米球(聚乙二醇,免疫修飾納米球) 前體藥物 |
物理化學靶向制劑 | 磁性靶向制劑、熱敏靶向制劑、pH敏感靶向制劑 、栓塞靶向制劑 |
10.風濕性心臟病 患者行心瓣膜置術后使用華法林,可發生的典型不良反應是()
A.低血糖
B.血脂升高
C.出血
D.血壓降低
E.肝臟損傷
10. C
解析:華法林屬于抗凝血藥,能夠引起出血。
11.苯唑西林的生物半衰t1/2=0.5h。其30%原形藥物經腎排泄,且腎排泄的主要機制是腎小球濾過和腎小球分泌,其余大部分經肝代謝消除,對肝腎功能正常的病人,該約物的肝清除速率常數是( )。
A.4.62h-1
B.1.98h-1
C.0.42h-1
D.1.39h-1
E.0.42h-1
11. C
解析:根據公式t1/2=0.693/k計算,k=0.693/0.5h=1.386h-1。30%經腎排泄,那么70%經肝排泄,所以肝清除速率常數=70%×k=70%×1.386h-1=0.97h-1。
12.為延長脂質體在統內循環時間,通常使用修飾的磷脂制各長循環脂質體,常用的修飾材料是( )。
A.甘露醇
B.聚山梨醇
C.山梨醇
D.聚乙二醇
E.聚乙烯醇
12. D
解析:長循環脂質體是指PEG(聚乙二醇)修飾可增加脂質體的柔順性和親水性,從而降低與單核巨噬細胞的親和力,延長循環時間。
13.可用于各關高血壓,也可用于預防治心絞痛的藥物是( )。
A.卡托普利
B.可樂定
C.氯沙坦
D.硝笨地平
E.哌唑嗪
13. D
解析:硝苯地平能抑制心肌對鈣離子的攝取,使心肌收縮力減弱,降低心肌耗氧量,增加冠脈血流量,還可通過擴張周邊血管,降低血壓,改善腦循環,用于治療冠心病,緩解心絞痛,還可治療高血壓。
14.《中國藥典》收載的阿司匹林標準中,記載在【性狀】項的內容是( )。
A.含量的限度
B.溶解度
C.溶液的澄清度
D.游離水楊酸的限度
E.干燥失重的限度
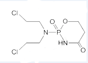
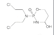
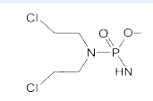
14. B
解析:性狀包括外觀與臭味、溶解度、物理常數(熔點,黏度,吸收系數,相對密度等)。
15.利培酮的半衰期大約為3小時,但用法為一日2次,其原因被認為時候利培酮代謝產物也具有相同的生物活性,利培酮的活性代謝產物是( )。
A.齊拉西酮
B.洛沙平
C.阿莫沙平
D.帕利西汀
E.帕羅西汀
15. D
解析:利培酮是運用駢合原理設計的非經典抗精神病藥物,口服吸收完全,在肝臟受酶催化生成帕利哌酮,均具有抗精神病活性,利培酮原藥的半衰期只有3小時,但主要活性代謝物帕利哌酮的半衰期長達24小時。
16.作用于升級氨酸酶的抗流感毒藥物的是( )。
A.阿昔洛韋
B.利巴韋林
C.奧司他韋
D.鱗甲酸鈉
E.金剛烷胺
16. C
解析:奧司他韋是流感病毒的神經氨酸酶抑制劑,能有效地阻斷流感病毒的復制過程,對流感的預防和治療發揮重要的作用。
17.關于藥物吸收的說法正確的是( )。
A.在十二指腸由載體轉運吸收的藥物,胃排空緩慢有利于其口服吸收
B.食物可減少藥物的吸收,藥物均不能與食物同報
C.藥物的親脂性會影響藥物的吸收,油/水分配系數小
D.固體藥物粒子越大,溶出越快,吸收越好
E.臨床上大多數脂溶性小分子藥物的吸收過程是主動轉運
17. A
解析:對需要在十二指腸通過載體轉運的方式主動吸收的藥物,如核黃素等,由于胃排空緩慢,核黃素連續不斷緩慢地通過十二指腸,主動轉運不易產生飽和,使得吸收增多,所以A正確。
18.關于制劑質量要求和使用特點的說法,正確的是( )。
A.注射劑應進行微生物限度檢查
B.眼用液體制劑不允許添加抑菌劑
C.生物制品一般不直制成注射用濃溶液
D.若需同時使用眼膏劑和滴眼劑,應先使用眼膏劑
E.沖洗劑開啟使用后,可小心存放,供下次使用
18. C
解析:注射用濃溶液是指原料藥物與適宜的輔料制成的供臨用前稀釋后靜脈滴注用的無菌濃溶液,生物制品一般不制成濃溶液。注射劑內不應含有任何活的微生物,應檢查無菌,所以A錯誤。用于眼外傷或術后的眼用制劑必須滿足無菌,成品需經嚴格的滅菌,并不加入抑菌劑。所以B錯誤。若同時使用滴眼劑和眼膏劑需先使用滴眼劑,所以D錯誤。沖洗劑開啟使用后,下次不得使用,所以E錯誤。
19.給I型糖尿病患者皮下注射胰島素控制血糖的機制屬于( )。
A.改變離子通道的通透性
B.影響庫的活性
C.補充體內活性物質
D.改變細胞周圍環境的理化性質
E.影響機體免疫功能
19. C
解析:鐵制劑治療缺鐵性貧血、胰島素治療糖尿病的機制屬于補充體內物質。
20.靜脈注射某藥80mg,初始血藥濃度為20ml,則該藥的表觀分布容積V為( )。
A.0.25L
B.4L
C.0.4L
D.1.6L
E.16L
20. B
解析:根據公式V=X0/C0,其中V是表觀分布容積,X0為靜脈劑量,C0為初始濃度。所以V=80mg/20μg/ml=4。
21.以PEG為基質的對乙酰氨基酚表面的鯨蠟醇層的作用是( )。
A.促進藥物釋放
B.保持栓劑硬整理度
C.減輕用藥刺激
D.增加栓劑的穩定性
E.軟化基質
21. C
解析:聚乙二醇類對黏膜有一定刺激性。減輕聚乙二醇對黏膜的刺激性方法包括:①加水>20%;②納入腔道前先用水潤濕;③在栓劑表面涂鯨蠟醇/硬脂醇。
22.患者,男,65歲,患高血壓病多年,近三年來一直服用氨氯地平和阿替洛爾,血壓控制良好。近期因治療肺結核,服用利福平、乙胺丁醇。兩周后血壓升高。引起血壓升高的原因可能是( )。
A.利福平促進了阿替洛爾的腎臟排泄
B.利福平誘導了肝藥酶,促進了氨氧地平的代謝
C.乙胺丁醇促進了阿替洛爾的腎臟排泄
D.乙胺丁醇誘導了肝藥酶,促進了氮地平的代謝
E.利福平與氨氧地平結合成難溶的復合物
22. B
解析:酶的誘導可以增加肝藥酶活性,加速代謝,使受影響的藥物作用減弱或縮短。代表藥物有苯巴比妥,水合氯醛,格魯米特,甲丙氨酯,苯妥英鈉,撲米酮,卡馬西平,尼克剎米,利福平,螺內酯等。利福平是酶誘導劑,促進氨氯地平的代謝。
23.關于藥物警收與藥物不良反應監測的說法,正確的是( )。
A.藥物警戒和不良反應臨測都包括對己上市藥品進行安全性平價
B.藥物警戒和不良反應臨測的對象都僅限于質最合格的藥品
C.不良反應監測的重點是藥物濫用和誤用
D.藥物警戒不包括研發階段的藥物安全性評價和動物毒理學評價
E.藥物不良反應監測包括藥物上市前的安全性監測
23. A
解析:藥品不良反應監測對象是質量合格的藥品,而藥物警戒涉及除質量合格藥品之外的其他藥物,所以B錯誤。藥物警戒涵蓋了藥物從研發到上市使用的整個過程(包括不良反應監測),而藥品不良反應監測僅僅是指藥品上市后的監測,所以C、D、E錯誤。
24.多劑量靜脈注射給藥的平均穩態血藥濃度是( )。
A.重復給藥達到穩態后,一個給藥間隔時間內血約濃度-時間曲線下面積除以給藥時間間隔的商值
B.Css(上標)max(下標)與Css(上標)min(下標)的算術平均值
C.Css(上標)max(下標)與Css(上標)min(下標)的幾何平均值
D.藥物的血藥濃度-時間曲線下面積除以給藥時間的商值
E.重復給藥的第一個給藥間隔時間內血藥濃度-時間曲線下面積除以給藥間隔的商值
24. A
解析:平均穩態血藥濃度是指重復給藥達穩態后,在一個給藥間隔時間內血藥濃度-時間曲線下的面積除以給藥間隔時間的商值。
25.服用阿托品在解除胃腸痙攣時,引起口干、心悸的不良反應屬于( )。
A.后遺效應變態反應
B.副作用
C.首劑效應
D.繼發性反應
E.變態反應
25. B
解析:副作用或副反應是指在藥物按正常用法用量使用時,出現的與治療目的無關的不適反應,副作用一般反應較輕微,多數可以恢復。例如阿托品用于解除胃腸痙攣時,會引起口干,心悸,便秘等副作用。
26.普魯卡因和琥珀膽堿聯用時,會加重呼吸抑制的不良反應,其可能的原因是( )
A.個體遺傳性血漿膽堿酯酶潤德教育整理活性低系下
B.琥珀膽堿與普魯卡因發生藥物相互作用,激活膽堿酯酶的活性,加快琥珀膽堿代謝
C.普魯卡因競爭膽堿酯酶,影響琥珀膽堿代謝,導致琥珀膽堿血藥濃度增高
D.普魯卡因抑制肝藥酶活性,進而影響了琥珀膽堿的代謝,導致琥珀膽堿血藥濃度增高
E.琥珀膽堿影響尿液酸堿性,促進普魯卡因在腎小管的重吸收,導致普魯卡因血藥濃度增高。
26. C
解析:在靜脈滴注普魯卡因進行全身麻醉期間,加用骨骼肌松馳藥琥珀膽堿,要特別慎重,因二者均被膽堿酶代謝滅活,普魯卡因將競爭膽堿酯酶,影響琥珀膽堿的水解,加重后者對呼吸肌的抑制作用。
27.高血壓患者按常規劑量服用哌唑嗪片,開始治療時產生眩暈、心悸、體位性低血壓。這種對藥物尚未適應而引起的不可耐受的反應稱為( )
A.繼發性反應
B.首劑效應
C.后遺效應
D.毒性反應
E.副作用
27. B
解析:首劑效應是指一些患者在初服某種藥物時,由于機體對藥物作用尚未適應而引起不可耐受的強烈反應。例如哌唑嗪按常規劑量開始治療可導致血壓驟降.
28.通過阻滯鈣離子通道發揮藥理作用的藥物是( )。
A.維拉帕米
B.普魯卡因
C.奎尼丁
D.胺碘酮
E.普羅帕酮
28. A
解析:維拉帕米是鈣通道阻滯劑,屬于芳烷基胺類。
29.將維A酸制成環糊精包合物的目的主要是( )。
A.降低維A酸的溶出液
B.減少維A酸的揮發性損失
C.產生靶向作用
D.提高維A酸的穩定性
E.產生緩解效果
29. D
解析:包合技術的特點:①可增加藥物溶解度和生物利用度;②掩蓋藥物的不良氣味,降低藥物的刺激性;③減少揮發性成分的損失,使液體藥物粉末化;④對易受熱,濕,光等影響的藥物,包合后可提高穩定性。
30.世界衛生組織關于藥物“嚴重不良事件”的定義是( )。
A.藥物常用劑量引起的與藥理學特征有關但非用藥目的的作用
B.在使用藥物期間發生的任何不可預見不良事件,不一定與治療有因果關系
C.在任何計量下發生的不可預見的臨床事件,如死亡、危及生命、需住院治療或延長目前的住院時間導致持續的或顯著的功能喪失及導致先天性畸形或出生缺陷
D.發生在作為預防、治療、診斷疾病期間或改變生理功能使用于人體的正常劑量時發生的有害的和非目的的藥物反應
E.藥物的一種不良反應,其性質和嚴重程度與標記的或批準上市的藥物不良反應不符,或是未能預料的不良反應
30. C
解析:嚴重不良事件是指在任何劑量下發生的不可預見的臨床事件,如死亡、危機生命,需要住院治療或延長住院時間,導致持續的或顯著的功能喪失及導致先天性急性或出生缺陷。
31.關于氣霧劑質量要求和貯藏條件的說法,錯誤的是( )。
A.貯藏條件要求是室溫保存
B.附加劑應無刺激性、無毒性
C.容器應能耐受氣霧劑所需的壓力
D.拋射劑應為無刺激性、無毒性
E.嚴重創傷氣霧劑應無菌
31. A
解析:霧劑藥物遇熱和受撞擊有可能發生爆炸,貯存時應注意避光,避熱,避摔碰,即使藥品使用完的小罐也不可弄破,刺穿或燃燒,所以氣霧劑應在涼暗處保存。
32.患者,女,60歲,因患者哮喘服用氨茶堿緩釋劑,近日,因胃潰瘍服用西咪替丁,三日后出現心律失常、心悸、惡心等癥狀。將西咪替丁換成法莫替丁后,上述癥狀消失,引起該患者心律失常及心悸等癥狀的主要原因是( )。
A.西咪替丁與氨茶堿競爭血漿蛋白
B.西咪替丁抑制肝藥酶,減慢了氨茶堿的代謝
C.西咪替丁抑制氨茶堿的腎小管分泌
D.西咪替丁促進氨茶堿的吸收
E.西咪替丁增強組織對氨茶堿的敏感性
32. B
解析:酶的抑制可以減少肝藥酶活性,代謝減慢,使受影響的藥物作用加強或延長。包括氯霉素,西咪替丁,異煙肼,胺碘酮,紅霉素,甲硝唑,咪康唑,哌醋甲酯,磺吡酮,三環類抗抑郁藥,吩噻嗪類藥物等。西咪替丁是酶抑制劑,減少氨茶堿的代謝。
33.頭孢克洛生物半衰期約為1h,口服頭孢克洛膠囊后,其在體內基本清除干凈(90%)的時間約是( )。
A.7h
B.2h
C.3h
D.14h
E.28h
33. A
解析:靜脈滴注半衰期個數與達坪濃度分數的關系
半衰期個數n | 達坪濃度Css | 半衰期個數n | 達坪濃度Css |
1 | 50.00% | 5 | 96.88% |
2 | 75.00% | 6 | 98.44% |
3 | 87.50% | 6.64 | 99.00% |
3.32 | 90.00% | 7 | 99.22% |
4 | 93.75% | 8 | 99.61% |
34.通過抑制血管緊張素1化夠發作藥理作用的藥物是( )。
A.依那普利.
B.阿司匹林
C.厄貝沙坦
D.硝苯地平
E.硝酸甘油
34. A
解析:依那普利是雙羧基血管緊張素轉換酶(ACE)抑制劑的藥物的代表;厄貝沙坦是血管緊張素Ⅱ受體拮抗劑。硝苯地平為對稱結構的二氫吡啶類鈣通道阻滯劑。硝酸甘油為硝酸酯類抗心絞痛藥。阿司匹林為環氧化酶(COX)的不可逆抑制劑,可使COX發生乙酰化反應而失去活性,從而起到解熱,鎮痛,抗炎的作用還可以抑制血小板凝聚和防止血栓形成。
35.易發生水解降解反應的藥物是( )。
A.嗎啡(
)
B.腎上腺素(
)
C.布洛芬(
)
D.鹽酸氯丙臻(
)
E.頭孢唑林(
)
35. E
解析:易水解的藥物:①脂類(含內脂):鹽酸普魯卡因,鹽酸丁卡因,鹽酸可卡因,硫酸阿托品,氫溴酸后馬托品等;②酰胺類(含內酰胺):青霉素,頭孢菌素,氯霉素,巴比妥類,對乙酰氨基酚等。
36.阿昔洛韋(
)的母核結構是( )。
A.嘧啶環
B.咪唑環
C鳥嘌呤環
D.吡咯環
E.吡啶環
36. C
解析:阿昔洛韋的母核結構是鳥嘌呤環。
37.藥物分子與機體生物大分子相互作用方式有共價鍵合和非共價鍵合兩大類,以共價鍵合方式與生物大分子作用的藥物是( )。
A.美法侖(
)
B.美洛昔康(
)
C.雌二醇(
)
D.乙胺丁醇(
)
E.卡托普利(
)
37. A
解析:共價鍵合是一種不可逆的結合形式,與發生的有機合成反應相類似。共價鍵鍵合類型多發生在化學治療藥物的作用機制上,如烷化劑類抗腫瘤藥物,與DNA種鳥嘌呤基形成共價結合鍵,產生細胞毒活性。美法侖是烷化劑的一種。
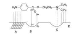
38.普魯卡因在體內與受體之間存在多種結合形式,結合模式如圖所示:
圖中,B區域的結合形式是( )。

A.氫鍵作用
B.離子-偶極作用
C.偶極-偶極作用
D.電荷轉移作用
E.疏水作用
38. C
解析:普魯卡因A區域的結合形式是范德華力,B是偶極-偶極作用,C是靜電引力,D是疏水作用。
39.氨茶堿結構如圖所示:

《中國藥典》規定氨茶堿為白色至微黃色的顆粒或粉末,易結塊:在空氣中吸收二氧化碳,并分解成茶堿。根據氨茶堿的性狀,其貯存的條件應滿足( )
A.遮光,密閉,室溫保存
B.遮光,密封,室溫保存
C.遮光,密閉,陰涼處保存
D.遮光嚴封,陰涼處保存
E,遮光,熔封,冷處保存
39. B
密閉 | 將容器密閉,防止塵土及異物進入 |
密封 | 將容器密封以防止風化,吸潮,揮發或異物進入 |
熔封或嚴封 | 將容器嚴封,防止空氣與水分的侵入并防止污染 |
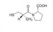
40.對乙酰氨基酚在體內會轉化生成乙酰亞胺醌,乙酰亞胺醌會耗竭肝內儲存的谷胱甘肽,進而與某些肝臟蛋白的巰基結構形成共價加成物引起肝毒性。根據下列藥物結構判斷,可以作為對名。酰氨基酚中毒解救藥物的是( )。
A. 
B. 
C. 
D. 
E.
40. B
對乙酰氨基酚中毒解救藥物是乙酰半胱氨酸,其結構式是:
二、配伍選擇題
( 41-42 )
A.增敏作用
B.脫敏作用
C.相加作用
D.生理性拮抗
E.藥理性拮抗
41.合用兩種分別作用于生潤德教育整理理效應相反的兩個特異性受體的激動藥,產生的相互作用屬于( )
42.當一種藥物與特異性受體結合后,阻止激動藥與其結合,產生的相互作用屬于( )
41-42 E、B
解析:藥物在體內吸收,分布的同時可能伴隨著化學結構上的轉變,這就是藥物的代謝過程,又稱生物轉化。由消化道上皮細胞吸收的藥物經循環系統轉運至身體各部位,藥物吸收通過胃腸道黏膜時,可能被黏膜中的酶代謝,進入肝臟后,也可能被肝臟豐富的酶系統代謝,藥物進入體循環前的降解或失活稱為首過代謝或首過效應。
( 43-45)
A.羥米乙
B.明膠
C.7烯-醋酸乙烯共聚物
D.β-環糊精
E.醋酸纖維索酞酸脂
43.屬于腸溶性子緩釋材料的是( )。
44.屬于水溶性子增調材料的是( )。
45.屬于不溶性骨架緩釋材料的是( )。
43-45 B、A、D
解析:完全激動藥:對受體有很高的親和力和內在活性(α=1)
部分激動藥:對受體有很高的親和力但內在活性不強(α<1)
拮抗藥:與受體有較強的親和力,但缺乏內在活性(α=0),而非競爭性拮抗藥與受體形成比較牢固的結合
【46-48】
A.完全激動藥
B.部分激動藥
C.競爭性拮抗藥
D.非競爭性拮抗藥
E.反向激動藥
46.對受體有很高的親和力但內在活性不演(a.1)的藥物屬于( )。
47.對受體有很高的親和力和內在活性(a=1)的藥物屬于( )。
48.對受體親和力病、結合中固,缺乏內在清性(a=0)的藥物屬于( )。
46-48 E、B、C
解析:腸溶性子材料包括丙烯酸樹脂L和S型,醋酸纖維素酞酸酯(CAP),醋酸羥丙甲纖維素琥珀酸酯(HPMCAS)和羥丙甲纖維素酞酸酯等。
水溶性子增稠材料包括明膠,聚乙烯醇,右旋糖酐,聚維酮(PVP)
不溶性骨架材料包括乙基纖維素,乙烯-醋酸乙烯共聚物等。
【49-51】
A.辛伐他汀
B.氟伐他汀
C.并伐他汀
D.西立伐他汀
E.阿托伐他汀
49.含有3.5-二輕基成酸和叼朵環的第個全合成他汀類調血脂藥物是( )。
50.含有3羚基-δ-內能環結構片段,香要在體內水解成3,5-二輕基應酸,才能發揮作用的HMG-CoA還原酶抑制劑是( )。
51.他打炎藥物可引起肌痛或模紋肌溶解癥的不良反應,因該不良反應而撤出市場的藥物是( )。
49-51 B、A、D
解析:氟伐他汀是第一個通過全合成得到的他汀類藥物,用吲哚環代替洛伐他汀中的雙環,并將內酯環打開與鈉成鹽后得到氟伐他汀鈉。
辛伐他汀在洛伐他汀十氫萘環的側鏈上多了一個甲基,使其親脂性略有提高,活性比洛伐他汀略高,也具有內酯結構,也是屬于前藥在體內水解為3,5-二羥基戊酸后起效。
西立伐他汀由于引起橫隔肌溶解,導致病人死亡的副作用而撤市。
【52-53】
A.誘導效應
B.首過效應
C.抑制效應
D.腸肝循環
E.生物轉化
52.藥物在體內經藥潤德教育整理物代謝醉的催化作用,發牛結構改變的過程稱為( )。
53.經胃腸道吸收的藥物進入體循環前的降解或大活的過程稱為( )。
52-53 D、A
不良反應新的分類
A類反應(擴大) | 與劑量有關 | 停藥或減少劑量可改善 |
B類反應(過度) | 針對微生物 | 抗生素引起的腸道內耐藥菌的過度生長 |
C類反應(化學) | 化學性質 | 外滲反應,靜脈炎,藥物或賦形劑刺激而致的注射部位疼痛,酸堿灼燒,過敏性皮炎等 |
D類反應(給藥) | 給藥方式 | 植入藥物周圍的炎癥或纖維化,注射液中微粒引起的血栓形成或血管栓塞 |
E類反應(撤藥) | 停止或減少給藥 | 阿片類,苯二氮卓類,三環類抗抑郁藥和可樂定等 |
F類反應(家族) | 家族遺傳性疾病 | 苯丙酮酸尿癥,鐮狀細胞貧血病等 |
G類反應(基因) | 致癌致畸 | 有些事潛在的致癌物,有些致畸物在胎兒期即可導致遺傳物質受損 |
E類反應(過敏) | 不能預測 | 青霉素,頭孢菌素等的過敏 |
U類反應(未分類) | 機制不明 | 藥源性味覺障礙,他汀類藥物引起的肌病 |
【54-55】
A.Km"Vm
B.MRT
C.Ka
D.Cl
E.B
54.在不同藥物動力學模型中,計算血藥濃度與所向關系會涉及不同參數,雙空模型中,慢配豈速度常數是( )。
55.在不同藥物動力學模型中,計算血藥濃度與所向關系會涉及不同參數,非房室分析中,平均滯留時間是( )。
54-55 C、D
解析:膜動轉運是蛋白質和多肽的重要吸收方式,并且有一定的部位特異性(蛋白質在小腸下段的吸收最為明顯),微粒給藥系統可通過吞噬作用進入細胞。藥物通過生物膜轉運時,借助載體或酶促系統,可以從膜的低濃度一側向高濃度一側轉運,這種過程叫主動轉運。
【56-57】
A.經皮給藥
B.直腸給藥
C.吸入給藥
D.口腔黏膜給藥
E.靜脈給藥
56.一次給藥作用持續時間相對較長的給藥途徑是( )。
57.生物利用度較高的給藥途徑是( )。
56-57 E、A
解析:慢乙酰化者對異煙肼代謝緩慢,故容易發生周圍神經炎,缺乏葡萄糖-6-磷酸脫氫酶患者服用對乙酰氨基酚會容易導致溶血性貧血
【58-59】
A.含片
B.普通片
C.泡騰片
D.腸溶片
E.薄膜衣片
58.《中國藥典》規定前解時限為5分鐘的劑型是( )。
59.《中國藥典》規定崩解時限為30分鐘的劑型是( )。
58-59 E、A
解析:經皮給藥制劑可避免肝臟首過效應,提高療效,可長時間持續擴散進入血液循環。靜脈給藥無吸收過程,生物利用度為100%。
【60-61】
A.溶血性貧血
B.系統性紅斑狼瘡
C.血管炎
D.急性腎小管壞死
E.周國神經炎
60.服用異煙肼,慢乙院化型患者比快乙配化型患者更易發生( )。
61.葡萄糖-6磷酸脫氫酶(G-6-PD)缺陷患者,服用對乙酰胺基酚易發生( )。
60-61 D、E
解析:增敏作用:某藥可使組織或受體對另一藥的敏感性增強;脫敏作用:某藥可使組織或受體對另一藥物的敏感性減弱,只有增加劑量才能維持療效;相加作用:兩藥合用的效應是兩藥分別作用的代數和;生理性拮抗:兩種激動藥分別作用于生理作用相反的兩個特異性受體;藥理性拮抗:當一種藥物與特異性受體結合后,阻止激動劑與其結合。
【62-64】
A.醋酸纖維素酞酸酯
B.羫苯乙酯
C.β-環糊精
D.明膠
E.乙烯-醋酸乙烯共聚物
62.屬于不溶性骨架緩釋材料的是( )。
63.屬于腸溶性子緩釋材料的是( )。
64.屬于水溶性子增稠材料的是( )。
62-63 A、D、E
解析:腎小管分泌屬于主動轉運,膽汁排泄引起腸肝循環.
【65-66】
A.腎小管分泌
B.腎小球濾過
C.腎小管重吸收
D.膽汁排泄
E.乳汁排泄
65.屬于主動轉運的腎排泄過程是( )。
66.可能引起腸肝循環排泄過程是( )。
65-66 A、B
遺傳因素包括種族差異,種屬差異,個體差異,特異質反應。不同給藥途徑,可影響藥物吸收速率和吸收程度:靜脈注射>吸入給藥>肌內注射>皮下注射>直腸給藥>口服給藥>貼皮給藥。劑量指給藥量,劑量不同,機體對藥物的反應程度不同,在一定范圍內,隨著給藥劑量的增加,藥物作用逐漸增強,超量者產生嚴重的不良反應,甚至中毒,臨床一般采用常用劑量。
【67-68】
A.簡單擴散
B.濾過
C.膜動轉運
D.主動轉運
E.易化擴散
67.蛋白質和多肽的吸收具有一定的部位特異性,其主要吸收方式是( )。
68.細胞我的K*及細胞內的Nat可通過Nat,K*-ATP酶逆濃度差跨膜轉運,這種過程稱為( )。
67-68 B、A
解析:安全性檢查項目:異常毒性,熱原,細菌內毒素,無菌,升壓物質,降壓物質,過敏反應;
有效性檢查:崩解時限,溶出度,抗酸藥物的制酸力等;
均一性檢查:重量差異,含量均勻度;
純度檢查:對雜質進行檢查。
【69-70】
A.靜脈給藥
B.經皮給藥
C.口腔黏膜給藥
D.直腸給藥
E.吸入給藥
69.生物利用度較高的給藥途徑是( )。
70.一次給藥作用持續時間相對較長的給藥途徑是( )。
69-70 A、C
解析:長期應用廣譜抗菌藥物導致的“二重感染”屬于繼發性反應;
毒性作用是指在藥物劑量過大或體內蓄積過多時發生的危害機體的反應,一般較為嚴重;
特異質反應也稱特異性反應,是因先天性遺傳異常,少數病人用藥后發生與藥物本身藥理作用無關的有害反應,該反應與遺傳有關,與藥理作用無關,大多是由于機體缺乏某種酶,藥物在體內代謝受阻所致的反應。
【71-73】
A.氟伐他汀
B.普伐他汀
C.西立伐他汀
D.阿托伐他汀
E.辛伐他汀
71.他汀類藥物可引起肌痛或橫紋肌溶解癥的不良反應,因該不良反應而撤出市場的藥物是( )。
72.含有3.5-二羥基戊酸和吲哚環的第一個全合成他汀類調血脂藥物是( )。
73.含有3-羥基-(化學符號)-內酯環結構片段,需要在體內水解成3.5-二羥基戊酸,才能發揮作用的HMG-CoA還原酶抑制劑是( )。
71-73 B、E、B
解析:α稱為分布速度常數或快配制速度常數,β稱為消除速度常數或慢配制速度常數,α和β分別帶表者兩個指數項即藥物體內分布相和消除相的特征。一階矩:用藥物在體內的平均滯留時間表示(MRT)
【74-76】
A.酒石酸
B.硫代硫酸鈉
C.焦亞硫酸鈉
D.依地酸二鈉
E.維生素E
74.用于弱酸性藥物液體制劑的常用抗氧化劑是( )。
75.用于油溶性液體制劑的常用抗氧化劑是( )。
76.用于堿性藥物液體制劑的常用抗氧化劑是( )。
74-76 D、B、C
解析:用修飾的藥物載體將藥物定向運送至靶向部位發揮藥效的制劑稱為主動靶向制劑。緩釋制劑是指在規定釋放介質中,按要求緩慢地非恒速釋放的藥物,給藥頻率比普通制劑減少一半或有所減少,且能顯著增加患者的依從性。控釋制劑是指在規定釋放介質中,按要求緩慢地恒速釋放藥物,給藥頻率比普通制劑有所減少,血藥濃度比緩釋制劑更加平穩,且能顯著增加患者的依從性,靶向制劑,透皮吸收制劑等都屬于控釋制劑的范疇。
【77-79】
A.繼發性反應
B.毒性反應
C.特異質反應
D.變態反應
E.副作用
77.長期應用廣譜抗菌藥物導致的“二重感染”屬于( )。
78.少數病人用藥后發生與遺傳因素相關(但與藥物本身藥理作用無關)的有害反應屬于( )。
79.用藥劑量過大或體內蓄積過多時發生的危害機體的反應屬于( )。
77-79 C、E、B
解析:油溶性藥液的常用抗氧劑有VE
偏堿性藥液的常用抗氧劑包括亞硫酸鈉、硫代硫酸鈉
偏酸性藥液的常用抗氧劑包括亞硫酸氫鈉、焦亞硫酸鈉、VC
【80~82】
A.部分激勵藥
B.競爭性拮抗藥
C.非競爭性拮抗藥
D.反向激動藥
E.完全激動藥
80.對受體和力高、結合牢固,缺乏內在活性(a=0)的藥物屬于( )。
81.對受體有很高的親和力但內在活性不強(a<1)的藥物屬于( )。
82.對受體有很高的親和力和內在活性(a=1)的藥物屬于( )。
80-81 C、E
解析:普通片劑15min崩解
分散片,可溶片3min崩解
舌下片,泡騰片5min崩解
薄膜衣片30min崩解
腸溶衣片1h崩解
【83~84】
A.溶出度
B.熱原
C.重量差異
D.含量均勻度
E.干燥失重
83.在藥品質量標準中,屬于藥物安全性檢查的項目是( )。
84.在藥品的質量標準中,屬于藥物有效性檢查的項目是( )。
82-84 D、C、B
解析:停藥反應(反跳反應)是指長期服用某些藥物,機體對這些藥物產生了適宜性,若突然停藥或減少劑量,就容易使機體的調節功能失調而發生功能紊亂,導致病情加重或反跳的現象。
藥物依賴性是反復的(周期性或連續性)用藥所引起的人體心理上或生理上或者兩種兼有的對藥物的依賴狀態,表現出一種強迫性的連續或定期用藥的行為和其他反應。分為精神依賴和身體依賴,例如阿片類和鎮靜催眠藥在反復用藥過程中,先產生精神依賴性,后產生身體依賴性。
連續反復地應用,機體對其反應減弱,呈現耐受性。
【85~86】
A.吡啶環
B.氫化萘環
C.嘧啶環
D.吡咯環
E.吲哚環
85.HMG-CoA還原酶抑制劑洛伐他汀(
)含有的骨架結構是( )。
86.HMG-CoA還原酶抑制劑瑞舒伐他汀(
)含有的骨架結構是( )。
85-86 B、C
解析:洛伐他汀的骨架結構是氫化萘環,瑞舒伐他汀的骨架結構是嘧啶環。
【87~89】
A.
B.
C.
D.

E.

87.符合普通片劑溶出規律的溶出曲線表現為( )。
88.具有雙室模型特征的某藥物靜脈注射給藥,其血液濃度時間—曲線表現為( )。
89.具有腸一肝循環特征的某藥物血管外給藥其血藥濃度時間-曲線表現為( )。
87-89 E、B、C
【90~92】
A.硫酸阿托品(
)
B.氫溴酸東莨菪堿(
)
C.氫溴酸后馬托品(
)
D.異丙托溴銨(
)
E.丁溴東莨菪堿(
)
90.含有氧橋結構,中樞作用較強,用于預防和治療暈動癥的藥物是( )。
91.含有季銨結構,不易進入中樞,用于平喘的藥物是( )。
92.含有a-羥基苯乙酸酯結構、作用快、持續時間短,用于眼科檢查和散瞳的藥物是( )。
90-92 B、D、C
解析:氫溴酸東莨菪堿含有氧橋結構,中樞作用較強,用于預防和治療暈動癥。
異丙托溴銨含有季銨結構,不易進入中樞,用于平喘。
氫溴酸后馬托品含有α-羥基苯乙酸酯結構,作用快、持續時間短,用于眼科檢查和散瞳。
【93-95】
A.
B.
C.

D.

E.

93.屬于前藥,在體內水解成原藥后發揮解熱鎮痛及抗炎作用的藥物是( )。
94.雖然(S)—異構體的活性比(R)—異構體強,但在體內會發生手性轉化,以外消旋體上市的藥物是( )。
95.選擇性抑制COx-2的非甾體抗炎藥,胃腸道副作用小,但在臨床使用中具有潛在心血管事存風險的藥物是( )。
93-95 C、E、D
貝諾酯為對乙酰氨基酚與阿司匹林形成的酯的前藥,相對的胃腸道反應小,在體內水解成原藥,具有解熱,鎮痛,抗炎的作用。布洛芬(S)-異構體活性高于(R)-異構體。塞來昔布,分子中含有氨磺酰基,選擇性的COX-2抑制劑。能避免藥物對胃腸道的副作用,但可能會打破體內促凝血和抗凝血系統的平衡,會增加心血管事件的發生率。
【96-98】
A.硝苯地平

B.尼群地平

C.尼莫地平

D.氨氯地平

E.非洛地平

96.1.4-二氧吡啶環的4位為3-硝基苯基,能夠通過血—腦屏障,選擇性地擴張腦血管,增加腦血流量,對局部缺血具有保護作用的藥物是( )。
97.分子結構具有對稱性,可用于治療冠心病,并能緩解心絞痛的藥物是( )。
98.1.4-二氧吡啶環的2位為2-氨基乙氧基甲基,外消旋體和左旋體均已用于臨床的藥物是( )。
96-97 C、A、D
尼莫地平容易通過血-腦屏障而作用于腦血管及神經細胞,選擇性擴張腦血管,具有抗缺血和抗血管收縮的作用,臨床用于預防和治療蛛網膜下出血后腦血管痙攣所致的缺血性神經障礙,高血壓和偏頭痛等。硝苯地平為對稱結構的二氫吡啶類藥物,用于治療冠心病,緩解心絞痛,還可治療高血壓。氨氯地平分子中的1,4-二氫吡啶環的2位甲基被2-氨基乙氧基甲基取代,3,5位羧酸酯的結構不同,因而4位碳原子具有手性,可產生兩個光學異構體,臨床用外消旋體和左旋體。
【99-100】
A.

B.

C.

D.

E.

99.藥物分子中的16位為甲基,21位為羥基,該羥基可以與磷酸活琥珀酸成酯,進一步與堿金屬成鹽,增加水溶性,該藥物是( )。
100.藥物分子中9位氟原子增加了抗炎活性,16位羥基降低9位氟原子帶來的鈉潴留副作用,將此羥基和17位羥基與丙酮生成縮酮,改善了藥物動力學性質。該具有縮酮結構的藥物是( )。
99-100 D 、C
解析:地塞米松藥物分子中的16位為甲基,21位為羥基,該羥基可以與磷酸或琥珀酸成酯,進一步與堿金屬成鹽,增加水溶性。
曲安奈德在9α-位引入氟原子,C16引入羥基并與C17α-羥基一道制成丙酮的縮酮,可抵消9α-氟原子取代增加鈉潴留作用,糖皮質激素作用大幅度增加
三、綜合分析選擇題
101.關于苯妥英鈉藥效學、藥動學特征的說法,正確的是( )。
A.隨著給藥劑量增加,藥物消除可能會明顯減慢,會引起血藥濃度明顯增加
B.苯妥英鈉在臨床上不屬于治療窗窄的藥物,無需監測其血藥濃度
C.苯妥英鈉的安全濃度范圍較大,使用時較為安全
D.制定苯妥英鈉給藥方案時,只需要根據半衰期制定給藥間隔
E.可以根據小劑量時的動力學參數預測高劑量的血藥濃度
答案:A
解析:根據材料可得苯妥英鈉增加劑量可使血藥濃度顯著升高,所以A正確
102.關于靜脈注射苯妥英鈉的血藥濃度-時間曲線的說法,正確的是( )。
A.低濃度下,表現為線性藥物動力學特征:劑量增加,消除半衰期延長
B.低濃度下,表現為非線性藥物動力學特征:不同劑量的血藥濃度時間曲線
C.高濃度下,表現為非線性藥物動力學特征:AUC與劑量不成正比
D.高濃度下,表現為線性藥物動力學特征。劑量增加,半衰期不變
E.高濃度下,表現為非線性藥物動力學特征:血藥濃度與劑量成正比
答案:C
解析:根據材料,高濃度時,按零級動力學消除,所以為非線性動力學特征,AUC與劑量不成正比
103.關于苯妥英鈉在較大濃度范圍的消除速率的說法,正確的是( )。
A.用米氏方程表示,消除快慢只與參數Vm有關
B.用米氏方程表示,消除快慢與參數Km和Vm有關
C.用米氏方程表示,消除快慢只與參數Km有關
D.用零級動力學方程表示,消除快慢表現在消除速率常數Ko上
E.用一級動力學方程表示,消除快慢體現在消除速率常數k上
答案:B
解析:米氏方程中消除快慢與Km和Vm都有關
104.已知苯妥英鈉在肝腎功能正常病人中的K_=-12μg/ml.V_=10mg/kg-d),當每天給藥劑量為3 mg/(kgd).則穩態血藥濃度C.-5.lpg/ml:當每天給藥劑量為6mg/(kgd).則穩態血藥濃度C.-18μg/ml.已知C.”.若希望達到穩態血藥濃度12pg/ml,則病人的給藥劑量是( )。
A.3.5mg/(kgd)
B.40mg/(kg-d)
C.4.35mg/(kgd)
D.5.0mg/(kgd)
E.5.6mg/(kgd)
答案:D
解析:直接把題目已知的條件帶入題目所給的公式即可
【105-107】
患者,女,78歲,因患高血壓病長期口服硝苯地平控釋片(規格為30mg),每日1次,每次1片,血壓控制良好。近兩日因氣溫程降,感覺血壓明顯升高,于18時自查血壓達170/10mmHg,決定加服1片藥,擔心起效慢,將其碾碎后吞服,于19時再次自測血壓降至110/70mmHg后續又出現頭暈、惡心、心悸、胸間,隨后就醫。
105.關于導致患者出現血壓明顯下降及心悸等癥狀的原因的說法,正確的是( )。
A.藥品質量缺陷所致
B.由于控釋片破碎使較大量的硝苯地平實釋
C.部分緩解片破碎使硝苯地平劑量損失,血藥濃度未達有效范圍
D.藥品正常使用情況下發生的不良反應
E.患者未在時辰藥理學范疇正確使用藥物
答案:B
解析:控釋片碾碎服用后,使得結構被破壞,硝苯地平劑量大量釋放出來,導致硝苯地平血藥濃度升高,藥效增強
106.關于口服緩釋、控釋制劑的臨床應用與注意事項的說法,錯誤的是( )。
A.控釋制劑的藥物釋放速度恒定,偶爾過量服用不會影響血藥濃度
B.緩釋制劑用藥次數過多或增加給藥劑量可導致血藥濃度增高
C.部分緩釋制劑的藥物釋放速度由制劑表面的包衣膜決定
D.控釋制劑的服藥間隔時間通常為12小時或24小時
E.緩釋制劑用藥次數不夠會導致藥物的血藥濃度過低,達不到應有的療效
答案:A
解析:服用過量,肯定會導致血藥濃度升高
107.硝苯地平控釋片的包衣材料是( )。
A.卡波姆
B.聚維酮
C.酷酸纖維素
D.經丙甲纖維素
E.醋酸纖維索酞酸酷
答案:C
解析:醋酸纖維素可作為包衣材料
【108-110】
紫杉醇(TaXol)是從美國西海岸的短葉紅豆杉的樹支中提取得到的具有紫衫烯環結構的二萜類化合物,屬有絲分裂抑制劑或紡錘體毒索。
多西他賽(Docetaxel)是由10去乙酰基漿果赤霉素進行半合成得到的紫衫烷類抗腫瘤藥物,結構上與紫衫醉有兩點不同,一是第10位碳上的取代基,二是3位上的側鏈。多西他賽的水溶性比紫杉醇好,毒性較小,抗腫瘤譜更廣。
108.按藥物來源分類,多西他賽屬于( )。
A.天然藥物
B.半合成天然藥物
C.合成藥物
D.生物藥物
E.半合成抗生素
答案:B
解析:根據材料,多西他賽屬于半合成天然藥物
109.紫杉醇注射液中通常含有聚氧乙烯蓖麻油,其作用是( )。
A.助懸劑
B.穩定劑
C.等滲調節劑
D.增溶劑
E.金屬整合劑
答案:D
解析:服用過量,肯定會導致血藥濃度升高
110.根據結構關系判斷,屬于多西他賽結構的是()
A.

B.

C.

D.

E.

答案:E
解析:根據材料給的信息結構式,可以推出多西他賽結構為E選項
111.下列藥物在體內發生生物轉化反應,屬于第1相反應的有( )。
A.苯胺英納代謝生成羥基苯妥英
B.對氨基水楊酸在乙酰輔酶
C.卡馬西平代謝生成卡馬西平
D.地西半羥脫甲基和羥基化生成奧沙西洋
E.硫噴妥鈉經氧化脫硫生成戊巴比妥
答案:ACDE
解析:B選擇為第II相反應,其余都是第I相反應
112.依據檢驗目的不同,藥品檢驗可分為不同的類別。關于藥品檢驗的說法中正確的有( )。
A.委托檢驗系藥品生產企業委托具有相應監測能力并通過資質認定或認可的檢驗機構對本企業無法完成的檢驗項目進行檢驗
B.抽查檢驗系依法對生產、經營和使用的藥品按照藥品標準進行抽查檢驗
C.出廠檢驗系藥品檢驗機構對藥品生產企業要放行出廠的產品進行的質量檢驗
D.符合檢驗系對抽驗結果有異議時,由藥品檢驗仲裁機構對有異議的藥品進行再次抽檢
E.進口藥品檢驗系對于未獲得《進口藥品注冊證》或批件的進口藥品進行的檢驗
答案:ABD
解析:出廠檢驗系藥品生產企業對放行出廠的產品按企業藥品標準進行的質量檢驗過程
進口藥品檢驗是對于已經獲得《進口藥品注冊證》或批件的進口藥品進行的檢驗
113.患兒,男,2周歲,因普通感管引起高熱,哭鬧不止,醫師處方給子步洛芬口服混懸劑。相比固體劑型,在此病例中選用的布洛芬口服混懸劑的優勢在于( )。
A.小兒服用混懸劑更方便
B.含量高、易于稀釋、過量使用也不會造成嚴重的毒副作用
C.混懸劑因顆粒分布均勻,對胃腸道刺激小
D.適宜于分劑量給藥
E.含有山梨雨,味甜,順應性高
答案:ACDE
解析:過量使用肯定會有嚴重的不良反應,B選項過于絕對,其他選項正確
114.鹽酸異丙腎上腺素氣霧劑處方如下
鹽酸異丙腎上腺素 25g
維生素C 1.0g
乙醇 296.5g
二氧二氖甲烷 適量
共制成 1000g
于該處方中各輔料所起作用的說法,正確的有( )。
A.乙醇是乳化劑
B.維生素C是抗氧劑
C.二氧二氖甲烷是拋射劑
D.乙醇是潛溶劑
E.二氧二氟年烷是金屬離子絡合劑
答案:BCD
解析:維生素C為抗氧劑,乙醇為潛溶劑,二氯二氟甲烷為拋射劑
115.與碳酸鈣、氧化鎂等制劑同服可形成絡合物,影響其吸收的藥物有( )。
A.卡那霉素
B.左氧氟沙星
C.紅霉素
D.美他環素
E.多西環素
答案:BDE
解析:四環素類和喹諾酮類抗菌藥物都容易與鈣劑,鎂劑等金屬離子螯合成絡合物
116.可作為咀嚼片的填充劑和粘合劑的輔料有( )。
A.丙烯酸樹脂
B.甘落醇
C.蔗糖
D.山梨醇
E.乳糖
116、BCE
答案:甘露醇,蔗糖,乳糖可作為黏合劑
117.由于影響藥物代謝而產生的藥物相工作用有( )。
A.舉巴比安使華法林的抗凝血作用減弱
B.異煙膚與卡馬西平合用,肝毒性加重
C.保奉松使華法林的抗凝在作用增強
D.諾氟沙星與硫酸亞鐵同時服用,抗菌作用減弱
E.酮康挫與特非那定合用導致心律失常
答案:ABC
118.同種藥物的A、B兩種制劑,口服相同劑量,具有相同的AUC。其中制劑A達峰時間0.5h,峰濃度為116μg/ml,制劑B達峰時間3h,峰濃度73μg/ml.關于A、B兩種制劑的說法,正確的有( )。
A.兩種制劑吸收速度不同,但利用程度相當
B.A制劑相對B制劑的相對生物利用度為100%
C.B制劑相對A制劑的絕對生物和用度為100%
D.兩種制劑具有生物等效性
E.兩種制劑具有治療等效性
答案:ABD
解析:AUC表示利用程度,AUC相同故利用程度相同,A正確,由于是口服給藥,所以是相對生物利用度B正確,生物等效性是指一種藥物的不同制劑在相同試驗條件下,給相同劑量,反映其吸收程度和速度的主要藥動學參數故D正確
119.表現分布容積V反映了藥物在體內的分布情況。地高辛的表現分布容積V通常高達500L左右,遠大于人的體液的總體積,可能的原因有( )。
A.藥物與組織大量結合,而與血漿蛋白結合較少
B.藥物全部分布在血液中
C.藥物與組織的親和性強,組織對藥物的攝取多
D.藥物與組織幾乎不發生任何結合
E.藥物與血漿蛋白大量結合,面與組織結合較少
答案:AC
120.環磷酰胺
為前體藥物,需經體內活化才能發揮作用,經過氧化生成4-羥基環磷酰胺,進一步氧化生成無毒的4-酮基環磷酰胺,經過互變異構生產開環的醛基化合物。在肝臟進一步氧化生成無毒的羧酸化合物,而腫瘤組織中因缺乏正常組織所具有的酶不能代謝。非酶促反應β-消除生成丙烯醛和磷酰氮芥,磷酰氮芥及其他代謝產物都可經非水酶水解生成去甲氮芥,環磷酰胺在體內代謝的產物有( )
A.

B.

C.

D.

E.

答案:ABCDE
注冊會員,2018年執業藥師考試完整真題及答案解析及時獲知!
真題匯總:
更多資訊可關注希賽網執業藥師資格考試頻道,問題咨詢可撥打電話400-111-9811。
執業藥師備考資料免費領取
去領取
專注在線職業教育24年