摘要:距離2017年下半年軟考程序員考試還有三個月的時間,為了提高考試通過率,希賽網為大家整理了2009年上半年程序員考試上午真題。供大家學習與參考。
2009年上半年程序員考試上午真題:
● 用戶打開名為“個人簡歷”的 Word 文件,通常是指__(1)__;若再單擊常用工具欄上的“__(2)__”按鈕,可以插入表格。
(1)A.顯示并打印該文件的內容
B.為該文件開設一個新的、空的文檔窗口
C.將該文件內容從磁盤調入內存并顯示
D.將該文件內容從內存中讀出并顯示
(2)A.
B.
C.
D.
● 某品牌商品銷售情況表如圖(a)所示。若想按產品類別分別累計銷售量,可使用分類匯總命令。匯總的結果如圖(b)所示。

在進行分類匯總前,應先對數據清單中的記錄按__(3)__字段進行排序;選擇“數據/分類匯總”命令,并在彈出的“分類匯總”對話框中的“選定匯總項”列表框內,選擇要進行匯總的__(4)__字段,再點擊確認鍵。
(3)A.產品
B.銷售日期
C.銷售地點
D.銷售量
(4)A.產品
B.銷售日期
C.銷售地點
D.銷售量
● __(5)__是格式正確的E-mail地址。
(5)A.web master@rkB.gov.cn
B.webmaster @ rkB.gov.cn
C.http:\\ www.rkB.gov.cn
D.http:// www.rkB.gov.cn
● 若采用16-bit補碼表示整數,則可表示的整數范圍為__(6)__。 
●CPU執行算術運算或者邏輯運算時,算術邏輯運算部件(ALU)將計算結果保存在__(7)__中。
(7)A.累加器AC
B.程序計數器PC
C.指令寄存器IR
D.地址寄存器AR
● __(8)__不是使用光(激光)技術來存取數據的存儲介質。
(8)A.DVD
B.EEPROM
C.CD-ROM
D.CD-RW
● __(9)__既有檢錯功能又有糾錯功能。
(9)A.水平奇偶校驗
B.垂直奇偶校驗
C.海明校驗
D.循環冗余校驗
● 計算機的用途不同,對其部件的性能指標要求也有所不同。以科學計算為主的計算機,對__(10)__要求較高,而且應該重點考慮 __(11)__。
(10)A.外存儲器的讀寫速度
B.主機的運算速度
C.I/O 設備的速度
D.顯示分辨率
(11)A.CPU 的主頻和字長,以及內存容量
B.硬盤讀寫速度和字長
C.CPU 的主頻和顯示分辨率
D.硬盤讀寫速度和顯示分辨率
● 聲音信號的數字化過程包括采樣、__(12)__和編碼。
(12)A.合成
B.去噪
C.量化
D.壓縮
● 目前一般家庭中,點播電視系統的用戶端必須配置的設備是__(13)__。
(13)A.解碼器
B.調制解調器
C.機頂盒
D.記賬設備
● 多媒體計算機與普通計算機的主要區別是多媒體計算機增加了__(14)__。
(14)A.存儲信息的實體
B.視頻和音頻信息的處理能力
C.光驅和聲卡
D.大容量的磁介質和光介質
● 下面關于加密的說法中,錯誤的是 __(15)__。
(15)A.數據加密的目的是保護數據的機密性
B.加密過程是利用密鑰和加密算法將明文轉換成密文的過程
C.選擇密鑰和加密算法的原則是保證密文不可能被破解
D.加密技術通常分為非對稱加密技術和對稱密鑰加密技術
● 下面關于防火墻功能的說法中,不正確的是__(16)__。
(16)A.防火墻能有效防范病毒的入侵
B.防火墻能控制對特殊站點的訪問
C.防火墻能對進出的數據包進行過濾
D.防火墻能對部分網絡攻擊行為進行檢測和報警
● 軟件著作權的客體是指 __(17)__。
(17)A.公民、法人或其他組織
B.計算機程序及算法
C.計算機程序及有關文檔
D.軟件著作權權利人
● 商標法主要是保護__(18)__的權利。
(18)A.商標設計人
B.商標注冊人
C.商標使用人
D.商品生產者
● 若8位二進制數能被4整除,則其最低2位__(19)__。
(19)A.不可能是01、00
B.只能是10
C.可能是01、00
D.只能是00
● 設兩個 8 位補碼表示的數b7b6b5b4b3b2b1b0和a7a6a5a4a3a2a1a0相加時溢出(b7、a7為符號標志),則__(20)__。
(20)A.b7與a7的“邏輯或”結果一定為1
B.b7與a7的“邏輯與”結果一定為0
C.b7與a7的“邏輯異或”結果一定為1
D.b7與a7的“邏輯異或”結果一定為0
● __(21)__屬于并行外部總線。
(21)A.PCI
B.USB
C.IEEE-488
D.IEEE-1394
● 若指令系統中設置了專用I/O 操作指令,則I/O 接口__(22)__。
(22)A.與內存單元必須統一編址
B.可以獨立編址
C.必須采用DMA 方式與內存交換數據
D.必須采用中斷方式與內存交換數據
● 在Windows資源管理器的左窗口中,若顯示的文件夾圖標前帶有“
”標志,則意味著該文件夾__(23)__。
(23)A.是空文件夾
B.僅含有文件
C.含有子文件夾
D.僅含有隱藏文件
● 打印質量好、速度快,且工作原理與復印機相似的打印機是__(24)__。
(24)A.行式打印機
B.激光打印機
C.噴墨打印機
D.點陣打印機
● 在Windows系統中,若要移動窗口,可用鼠標拖動窗口的__(25)__。
(25)A.標題欄
B.菜單欄
C.狀態欄
D.工具欄
● 假設系統中進程的三態模型如下圖所示,圖中的a和b處應分別填寫__(26)__,圖中的c和d處應分別填寫__(27)__。

(26)A.時間片到、作業調度程序調度
B.執行了P 操作、時間片到
C.時間片到、進程調度程序調度
D.時間片到、執行了P 操作
(27)A.I/O 完成、執行了P 操作
B.執行了P 操作、I/O 完成
C.時間片到、 執行了V 操作
D.執行了V 操作、I/O 完成
● __(28)__屬于系統軟件,它直接執行高級語言源程序或與源程序等價的某種中間代碼。
(28)A.編譯程序
B.預處理程序
C.匯編程序
D.解釋程序
● __(29)__屬于標記語言。
(29)A.PHP
B.Lisp
C.XML
D.SQL
● 與表達式“a-(b+c)*d”對應的后綴式為__(30)__。
(30)A.ab-c*d+
B.abc+d*-
C.abcd-+*
D.abc+-*d
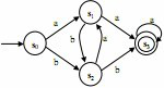
●下圖所示的有限自動機中,s0是初始狀態,s3為終止狀態,該自動機不能識別__(31)__。

(31)A.abab
B.aaaa
C.babb
C.abba
● 程序中常采用變量表示數據,變量具有名、地址、值、作用域、生存期等屬性。關于變量的敘述,__(32)__是錯誤的。
(32)A.根據作用域規則,在函數中定義的變量只能在函數中引用
B.在函數中定義的變量,其生存期為整個程序執行期間
C.在函數中定義的變量不能與其所在函數的形參同名
D.在函數中定義的變量,其存儲單元在內存的棧區
● 若算術表達式“a*(b-c)+d”采用二叉樹描述,則合理的樹結構為__(33)__。 
●C 語言具有的“__(34)__”特性使其適用于系統級應用開發。
(34)A.可直接對位、字節和地址進行運算
B.目標代碼短,可移植性好
C.采用宏定義和條件編譯
D.運算符豐富,關鍵字數量少
● 以下關于腳本程序語言的敘述中,錯誤的是__(35)__。
(35)A.腳本語言需要相應的引擎解釋執行
B.腳本語言程序一般以文本方式存在
C.在網頁設計中應用腳本可以提高網頁瀏覽速度、豐富網頁的表現
D.腳本語言中不允許使用變量
● 以下關于排序算法的敘述中,正確的是__(36)__。
(36)A.冒泡排序法中,元素的交換次數與元素的比較次數一定相同
B.冒泡排序法中,元素的交換次數不少于元素的比較次數
C.簡單選擇排序中,關鍵字相同的兩個記錄在排序前后的相對位置一定不變
D.簡單選擇排序中,關鍵字相同的兩個記錄在排序前后的相對位置可能交換
● 設有一個初始為空的棧,若輸入序列為 1、2、3、…、n(n>3),且輸出序列的第一個元素是n-1,則輸入序列中所有元素都出棧后,__(37)__。
(37)A.元素n-2一定比n-3先出棧
B.元素1~n-2在輸出序列中的排列是不確定的
C.輸出序列末尾的元素一定為1
D.輸出序列末尾的元素一定為n
● 某二叉樹的先序遍歷序列為 ABFCDE、中序遍歷序列為 BFADCE,則該二叉樹根的左孩子和右孩子結點分別是__(38)__。
(38)A.B 和F
B.F和B
C.B 和C
D.C 和B
2025下半年軟考真題在線估分
微信掃碼下方二維碼預約
▼ ▼ ▼
熱門:信息系統監理師備考 | 網絡工程師備考 | 軟件設計師備考
推薦:信息系統項目管理師網絡課堂 | 2025下半年軟考真題答案及解析專題
活動:資料下載 | 新人禮包 | 11.11知識狂歡節
課程:信息系統項目管理師報考指南 | PMP課程
軟考備考資料免費領取
去領取
專注在線職業教育24年