摘要:希賽網為廣大考生整理了2014年軟件評測師考試真題,以下為上午綜合知識部分,供大家參考學習。
希賽網為廣大考生整理了2014年軟件評測師考試真題,以下為上午綜合知識部分,供大家參考學習。
●三總線結構的計算機總線系統由()組成。
(1)A.CPU總線、內存總線和IO總線
B.數據總線、地址總線和控制總線
C.系統總線、內部總線和外部總線
D.串行總線、并行總線和PCI總線
●計算機采用分級存儲體系的主要目的是為了解決()的問題。
(2)A.主存容量不足
B.存儲器讀寫可靠性
C.外設訪問效率
D.存儲容量、成本和速度之間的矛盾
●以下屬于CPU中算術邏輯單元的部件是()。
(3)A.程序計數器
B.加法器
C.指令寄存器
D.指令譯碼器
●內存按字節編址從A5000H到DCFFFH的區域其存儲容量為()。
(4)A.123KB
B.180KB
C.223KB
D.224KB
●以下關于Risc和CISC的敘述中,不正確的是()。
(5)A.RISC通常比CISC的指令系統吏復雜。
B.RISC通常會比CISC配置更多的寄存器
C.RISC編譯器的子程序庫通常要比CISC編譯器的子程序庫大得多
D.RISC比CISC更加適合VLSI工藝的規整性要求
●以下敘述中,正確的是()。
(6)A.編譯正確的程序不包含語義錯誤
B.編譯正確的程序不包含語法錯誤
C.除數為0的情況可以在語義分析階段檢查出來
D.除數為0的情況可以在語法分析階段檢查出來
●已知函數f__(7)__、g__(8)__的定義如下所示,執行表達式”x=f(5)”的運算時,若函數調用g(a)是引用調用(call by reference)方式,則執行”x=f(5)”后x的值為();若函數調用g(a)是值調用(call by value)方式,則執行”x=f(5)”后x的值為()。

(7)A.20
B.25
C.60
D.75
(8)A.20
B.25
C.60
D.75
●算術表達式”(a-b)*(c+d)”的后綴是()。
(9)A.ab-cd+*
B.abcd-*+
C.ab-*cd+
D.ab-c+d*
●網絡系統中,通常把()置于DMZ區。
(10)A.網絡管理服務器
B.Web服務器
C.入侵檢測服務器
D.財務管理服務器
●以下敘述中,不正確的是()。
(11)A.拒絕服務攻擊的目的是使計算機或者網絡無法提供正常的服務
B.拒絕服務攻擊是不斷向計算機發起請求來實現的
C.拒絕服務攻擊會造成用戶密碼的泄漏
D.DDoS是一種拒絕服務攻擊形式
●()不是蠕蟲病毒。
(12)A.熊貓燒香
B.紅色代碼
C.冰河
D.愛蟲病毒
●甲公司接受乙公司委托開發了一項應用軟件,雙方沒有簽訂任何書面合同。在此情形下()享有該軟件的著作權。
(13)A.甲公司
B.甲、乙公司協商
C.乙公司
D.甲、乙公司均不
●甲、乙軟件公司于2013年9月12日就其財務軟件產品分別申請“大堂”和“大唐”商標注冊。兩財務軟件相似,且經協商雙方均不同意放棄使用其申請注冊的商標標識。此情形下,()獲準注冊。
(14)A.“大堂”
B.“大堂”與“大唐”都能
C.“大唐”
D.由甲、乙抽簽結果確定誰能
●假設系統采用PV操作實現進程同步與互斥,若n個進程共享兩臺打印機,那么信號量S的取值范圍為()。
(15)A.-2~n
B.-(n-1)~1
C.-(n-1)~2
D.-(n-2)~2
●假設段頁式存儲管理系統中的地址結構如下圖所示,則系統()。

(16)A.最多可有2048個段,每個段的大小均為2048個頁,頁的大小為2K
B.最多可有2048個段,每個段最大允許有2048個頁,頁的大小為2K
C.最多可有1024個段,每個段最大小均為1024個頁,頁的大小為4K
D.最多可有1024個段,每個段最大允許有1024個頁,頁的大小為4K
●假設磁盤塊與緩沖區大小相同,每個盤塊讀入緩沖區的時間為10μs,由緩沖區送至用戶區的時間是5μs,系統對每個磁盤塊數據的處理時間為2μs。若用戶需要將大小為10個磁盤塊的Docl文件逐塊從磁盤讀入緩沖區,并送至用戶區進行處理,那么采用單緩沖區需要花費的時間為()μs;采用雙緩沖區需要花費的時間為()μs。
(17)A.100
B.107
C.152
D.170
(18)A.100
B.107
C.152
D.170
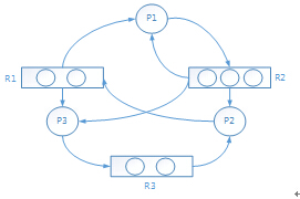
●在如下所示的進程資源()。

(19)A.P1、P2、P3都是阻塞節點
B.P1是阻塞節點、P2、P3是非阻塞節點
C.P1、P2是阻塞節點、P3是非阻塞節點
D.P1、P2是非阻塞節點、P3是阻塞節點
●在數據庫邏輯結構設計階段,需要()階段形成的()作為設計依據。
(20)A.需求分析
B.概念結構設計
C.物理結構設計
D.數據庫運行與維護
(21)A.程序文檔、數據字典和數據流圖
B.需求說明文檔、數據文檔和數據流圖
C.需求說明文檔、數據字典和數據流圖
D.需求說明文檔、數據字典和程序文檔
●給定關系模式R(A,B,C,D)、S(C,D,E),與
等價的SQL語句如下:
SELECT()FROM R,S WHERE();
下列查詢B=“信息”且E=“北京”的A、B、E的關系代數表達式中,查詢效率較高的是()。
(22)A.A,C,S.C
B.A,B,E
C.A,R.C,E
D.A,R,C,S.D
(23)A.B=軟件工程OR R.C=S.C AND R.D=S.D
B.B=’軟件工程’OR R.C=S.C AND R.D=S.D
C.B=’軟件工程’OR R.C=S.C OR R.D=S.D
D.B=’軟件工程’AND R.C=S.C ANDR.D=S.D
(24)

●在數據庫系統中;數據的()是指保護數據庫,以防止不合法的使用所造成的數據泄漏、更改或破壞。
(25)A.安全性
B.可靠性
C.完整性
D.并發控制
●PPP中的安全認證協議是(),它使用三次握手的會話過程傳送密文。
(26)A.MD5
B.PAP
C.CHAP
D.HASH
●ICMP協議屬于因特網中的()協議,ICMP協議數據單元封裝在()中傳送。
(27)A.數據鏈路層
B.網絡層
C.傳輸層
D.會話層
(28)A.以太幀
B.TCP段
C.UDP數據報
D.IP數據報
●DHCP客戶端可從DHCP服務器獲得()。
(29)A.DHCP服務器的地址和Web服務器的地址
B.DNS服務器的地址和DHCP服務器的地址
C.客戶端地址和郵件服務器地址
D.默認網關的地址和郵件服務器地址
●分配給某公司網絡的地址塊是210.115.192.0/20,該網絡可以被劃分為()個C類子網。
(30)A.4
B.8
C.16
D.32
●在項目初始階段,軟件開發首先需要()。
(31)A.理解要解決的問題
B.確定解決方案
C.確定參與開發的人員
D.估算開發成本
●軟件項目管理所涉及的范圍覆蓋了整個軟件()。
(32)A.開發過程
B.運行與維護過程
C.定義過程
D.生存期
●下圖是一個軟件項目的活動圖,其中頂點表示項目里程碑,連接頂點的邊表示包含的活動,則里程碑()在關鍵路徑上。活動GH的松弛時間是()。

(33)A.B
B.E
C.C
D.K
(34)A.0
B.1
C.2
D.3
●以下關于瀑布模型的敘述中,正確的是()。
(35)A.適用于需求被清晰定義的情況
B.可以快速構造系統的可運行版本
C.適合大規模項目開發的模型
D.己不能適應當前軟件開發的過時模型
●某開發小組欲開發一個大型軟件系統,需求變化較小,此時最不適宜采用()過程模型。
(36)A.瀑布
B.原型
C.增量
D.螺旋
●在各種不同的軟件需求中,()描述了產品必須要完成的任務,可以在用例模型中予以說明。
(37)A.功能需求
B.業務需求
C.質量需求
D.設計約束
●以下關于結構化開發方法的敘述中,不正確的是()。
(38)A.總的指導思想是自頂向下,逐層分解
B.基本原則是功能的分解與抽象
C.比面向對象開發方法更適合于開發大規模的、特別復雜的項目
D.特別適合解決數據處理領域的問題
●模塊A、B和C都包含相同的5個語句,這些語句之間沒有聯系,為了避免重復,把這5個語句抽取出來組成一個模塊D,則模塊D的內聚類型為()內聚。以下關于該類內聚的敘述中不正確的是()。
(39)A.功能
B.通信
C.邏輯
D.巧合
(40)A.從模塊獨立性來看,是不好的設計
B.是最弱的一種內聚類型
C.是最強的一種內蒙類型
D.不易于軟件的修改和維護
●在分層體系結構中,()實現與實體對象相關的業務邏輯。在基于JAVAEE技術開發的軟件系統中,。常用()技術來實現該層。
(41)A.表示層
B.控制層
C.模型層
D.數據層
(42)A.HTML
B.JSP
C.Servlet
D.EJB
●在進行軟件設計時,以下結構設計原則中,不正確的是()。
(43)A.模塊應具有較強的獨立性,即高內聚和低耦合
B.模塊之間的連接存在上下級的調用關系和同級之間的橫向聯系
C.整個系統呈樹狀結構,不允許網狀結構或交叉調用關系出現
D.所有模塊都必須嚴格地分類編碼并建立歸檔文件
●在軟件開發過程中,詳細設計的內容不包括()設計。
(44)A.軟件體系結構
B.算法
C.數據結構
D.數據庫物理結構
●以下關于文檔的敘述中,正確的是()。
(45)A.僅僅指軟件開發過程中產生的文檔
B.必須是滿足一定格式要求的規范文檔
C.編寫文檔會降低軟件開發的效率
D.高質量文檔可以提高軟件系統的可維護性
●在軟件維護階段,將專用報表功能改成通用報表功能,以適應將來可能的報表格式變化,則該維護類型為()維護。
(46)A.正確性
B.適應性
C.完善性
D.預防性
●以下用例圖中,A1和A2為()。A1和A2的關系為()。

(47)A.參與者
B.人
C.系統
D.外部系統
(48)A.關聯
B.泛化
C.包含
D.擴展
●下圖為某設計模式的類圖,類State和Context的關系為(),類()是客戶使用的主要接口。

(49)A.繼承
B.實現
C.聚合
D.組合
(50)A.Context
B.ConcreteStateA
C.ConcreteStateB
D.State
●軟件測試的對象不包括().
(51)A.軟件代碼
B.軟件需求規格說明書
C.軟件測試報告
D.軟件開發人員
●以下測試內容中,屬于系統測試的是()。
①單元測試②集成測試③安全性測試
④可靠性測試⑤兼容性測試⑥可用性測試
(52)A.①②③④⑤⑥
B.②③④⑤⑥
C.③④⑤⑥
D.④⑤⑥
●以下關于軟件測試原則的敘述中,不正確的是()。
(53)A.測試貫穿于全部軟件生命周期,并不是實現完成后才開始
B.測試用例本身不需要測試
C.測試用例需要逐步完善、不斷修訂
D.當缺陷成群集中出現時,測試時應該更多關注這些缺陷群
●以下關于測試工作在軟件開發各階段作用的敘述中,不正確的是()。
(54)A.在需求分析階段確定測試的需求分析
B.在概要設計和詳細設計階段制定集成測試計劃和單元測試計劃
C.在程序編寫階段制定系統測試計劃
D.在測試階段實施測試并提交測試報告
●在引入自動化測試工具以前,手工測試遇到的問題包括()。
①工作量和時間耗費過于龐大②衡量軟件測試工作進展困難
③長時間運行的可靠性測試問題④對并發用戶進行模擬的問題
⑤確定系統的性能瓶頸問題⑥軟件測試過程的管理問題
(55)A.①②③④⑤⑥
B.①②③④⑤
C.①②③④
D.①②③
●在進行可用性測試時關注的問題應包括()。
①安裝過程是否困難②錯誤提示是否明確
③GUI接口是否標準④登錄是否方便
⑤幫助文本是否上下文敏感
(56)A.①②
B.①③③
C.①②③④
D.①②③④⑤
●以下敘述中,不正確的是()。
(57)A.黑盒測試可以檢測軟件行為、性能等特性是否滿足要求
B.黑盒測試可以檢測軟件是否有人機交互上的錯誤
C.黑盒測試依賴于軟件內部的具體實現,如果實現發生了變化,則需要重新設計用例
D.黑盒測試用例設計可以和軟件實現同步進行
●以下關于等價類劃分法的敘述中,不正確的是()。
(58)A.如果規定輸入值a的范圍為1~99,那么得到兩個等價類,即有效等價類{a|1<=a<=99|,無效等價類{a|a<1或者a>99}
B.如果規定輸入值s的第一個字符必須為數字,那么得到兩個等價類,即有效等價類{s|s的第一個字符是數字},無效等價類{s|s的第一個字符不是數字}
C.如果規定輸入值x取值為1,2,3三個數之一,那么得到4個等價類,即有效等價類{x|x=l)、{x|x=2}、{x|x=3},無效等價類(x|x≠l,2,3}
D.如果規定輸入值i為奇數,那么得到兩個等價類,即有效等價類{i|i是奇數}無效等價類{i|i不是奇數}
●以下幾種白盒覆蓋測試中,覆蓋準則最強的是()。
(59)A.語句覆蓋
B.判定覆蓋
C.條件覆蓋
D.條件組合覆蓋
●對于邏輯表達式((a||b)||(c&&d)),需要()個測試用例才麓完成條件組合覆蓋。
(60)A.2
B.4
C.8
D.16
●為檢測系統所能承受的數據容量,應進行()。
(61)A.負載測試
B.壓力測試
C.大數據量測試
D.疲勞強度測試
●壓力測試不會使用到以下哪種測試手段,()。
(62)A.重復
B.注入錯誤
C.增加量級
D.并發
●以下測試內容中,不屬于GUI測試的是()。
(63)A.窗口相關操作是否符合標準
B.菜單和鼠標操作是否正確
C.計算結果是否正確
D.數據顯示是否正常
●以下屬于動態測試方法的是()。
(64)A.代碼審查
B.靜態結構測試
C.路徑覆蓋
D.技術評審
●集成測試關注的問題不包括()。
(65)A.模塊間的數據傳遞是否正確
B.一個模塊的功能是否會對另一個模塊的功能產生影響
C.所有模塊組合起來的性能是否能滿足要求
D.函數內局部數據結構是否有問題,會不會被異常修改
●以下屬于影響軟件可靠性因素的是()。
①軟件運行剖面②軟件規模
③軟件內部結構④軟件的開發方法和開發環境
⑤軟件的可靠性投入
(66)A.①②
B.①②③
C.①②③④
D.①②③④⑤
●軟件可靠性管理把軟件可靠性活動貫穿于軟件開發的全過程,成為軟件工程管理的一部分.確定軟件的可靠性目標在__(67)__階段。
(67)A.需求分析
B.概要設計
C.詳細設計
D.軟件測試
●以下關于公鑰加密技術的敘述中,不正確的是().
(68)A.公鑰加密的數據可以用私鑰解密
B.私鑰加密的數據可以用公鑰解密
C.公鑰和私鑰相互關聯
D.公鑰加密采用與對稱加密類似的位模式操作完成對數據的加解密操作
●濾防火墻是一種通過軟件檢查數據包以實現系統安全防護的基本手段,以下敘述中,不正確的是().
(69)A.濾防火墻通常工作在網絡層以上,因此可以實現對應用層數據的檢查與過濾
B.濾防火墻通常根據數據包源地址、目的地址、端口號和協議類型等標志設置訪問控制列表實現對數據包的過濾
C.數據濾用在內部主機和外部主機之間,過濾系統可以是一臺路由器或是一臺主機
D.當網絡規模比較復雜時,由于要求邏輯的一致性、封堵端口的有效性和規則集的正確性等原因,會導致訪問控制規則復雜,難以配置管理
●以下測試方法中,不屬于典型安全性測試的是()。
(70)A.安全功能驗證
B.漏洞掃描
C.通信加密
D.模擬攻擊試驗
●Teams are required for most engineering projects.Although some small hardware or software products can be developed by individuals,the scale and complexity of modem systems is such,and the demand for short schedules so great,that it is no longer()for one person to do most engineering jobs.Systems development is a team(),and the effectiveness of the team largely determines the()of the engineermg.
Development teams often behave much like baseball or basketball teams.Even though they may have multiple specialties,all the members work toward().However,on systems maintenance and enhancement teams,the engineers ofen work relatively independently,much like wrestling and track teams.
A team is()just a group of people who happen to work together.Teamwork takes practice and it involves special skills.Teams require common processes;they need agreed-upon goals;and they need effective guidance and leadership.The methods for guiding and leading such teams are well known,but they are not obvious.
(71)A.convenjent
B.existing
C.practical
D.real
(72)A.activity
B.job
C.process
D.application
(73)A.size
B.quality
C.scale
D.complexity
(74)A.multiple objectives
B.different objectives
C.a single objective
D.in dependen t objectives
(75)A.relatively
B./
C.only
D.morethan
軟考備考資料免費領取
去領取
專注在線職業教育24年