摘要:希賽網為廣大考生整理了2006年軟件評測師考試真題,以下為上午綜合知識部分,供大家參考學習。
希賽網為廣大考生整理了2006年軟件評測師考試真題,以下為上午綜合知識部分,供大家參考學習。
●在計算機系統中,存取速度最快的是__(1)__。
(1)A.CPU內部寄存器
B.計算機的高速緩存Cache
C.計算機的主存
D.大容量磁盤
●模塊的耦合度描述了__(2)__。
(2)A.模塊內各種元素結合的程度
B.模塊內多個功能之間的接口
C.模塊之間公共數據的數量
D.模塊之間相互關聯的程度
●若某計算機系統是由500個元器件構成的串聯系統,且每個元器件的失效率均為10-7/H,在不考慮其它因素對可靠性的影響時,該計算機系統的平均故障間隔時間為__(3)__小時。
(3)A.2×104
B.5×104
C.2×105
D.5×105
●內聚是一種指標,表示一個模塊__(4)__。
(4)A.代碼優化的程度
B.代碼功能的集中程度
C.完成任務的及時程度
D.為了與其他模塊連接所要完成的工作量
●為了解決進程間的同步和互斥問題,通常采用一種稱為__(5)__機制的方法。若系統中有5個進程共享若干個資源R,每個進程都需要4個資源R,那么使系統不發生死鎖的資源R的最少數目是__(6)__。
(5)A.調度
B.信號量
C.分派
D.通訊
(6)A.20
B.18
C.16
D.15
●在UNIX操作系統中,把輸入/輸出設備看作是__(7)__。
(7)A.普通文件
B.目錄文件
C.索引文件
D.特殊文件
●某磁盤組共有10個盤面,每個盤面上有100個磁道,每個磁道有16個扇區,假定分配以扇區為單位。若使用位示圖管理磁盤空間,則位示圖需要占用__(8)__字節空間。
(8)A.16000
B.1000
C.2000
D.1600
●__(9)__描述數據的局部邏輯視圖,是數據庫用戶的數據視圖,它是與某一應用有關的數據邏輯表示。
(9)A.模式
B.邏輯模式
C.外模式
D.內模式
●某數據庫中有員工關系E、產品關系P、倉庫關系W和庫存關系I,其中:員工關系E(employeeID,name,department)中的屬性為:員工編號,姓名,部門;產品關系P(productID,name,model,size,color)中的屬性為:產品編號,產品名稱,型號,尺寸,顏色;倉庫關系W(warehouseID,name,address,employeeID)中的屬性為:倉庫編號,倉庫名稱,地址,員工編號;庫存關系I(warehouseID,productID,quantity)中的屬性為倉庫編號,產品編號和產品數量。
a.若要求倉庫關系的負責人引用員工關系的員工編號,員工關系E的員工編號、倉庫關系W的倉庫編號和產品關系P的產品編號不能為空且惟一標識一個記錄,并且倉庫的地址不能為空,則依次要滿足的完整性約束是__(10)__。
b.可得到每種產品的名稱和該產品的總庫存量的查詢語句為:
SELELCT name,SUM(quantity)
FROM P,I
WHERE__(11)__。
(10)A.實體完整性、參照完整性、用戶定義完整性
B.參照完整性、實體完整性、用戶定義完整性
C.戶定義完整性、實體完整性、參照完整性
D.實體完整性、用戶定義完整性、參照完整性
(11)A.P.productID=I.productID;
B.P.productID=I.productID ORDER BY name;
C.P.productID=I.productID GROUP BY name;
D.P.productID=I.productID GROUP BY name,quantity;
●與多模光纖相比較,單模光纖具有__(12)__等特點。
(12)A.較高的傳輸率、較長的傳輸距離、較高的成本
B.較低的傳輸率、較短的傳輸距離、較高的成本
C.較高的傳輸率、較短的傳輸距離、較低的成本
D.較低的傳輸率、較長的傳輸距離、較低的成本
●“<title style="italic">science(/title)”是XML中一個元素的定義,其中元素的內容是__(13)__。
(13)A.title
B.style
C.italic
D.science
●某校園網用戶無法訪問外部站點210.102.58.74,管理人員在Windows操作系統下可以使用__(14)__判斷故障發生在校園網內還是校園網外。
(14)A.ping 210.102.58.74
B.tracert 210.102.58.74
C.netstat 210.102.58.74
D.arp 210.102.58.74
●SNMP所采用的傳輸層協議是__(15)__。
(15)A.UDP
B.ICMP
C.TCP
D.IP
●漸增式開發方法有利于__(16)__。
(16)A.獲取軟件需求
B.快速開發軟件
C.大型團隊開發
D.商業軟件開發
●高級程序設計語言中用于描述程序中的運算步驟、控制結構及數據傳輸的是__(17)__。
(17)A.語句
B.語義
C.語用
D.語法
●__(18)__是面向對象程序設計語言不同于其它語言的主要特點,是否建立了豐富的__(19)__是衡量一個面向對象程序設計語言成熟與否的一個重要標志。
(18)A.繼承性
B.消息傳遞
C.多態性
D.靜態聯編
(19)A.函數庫
B.類庫
C.類型庫
D.方法庫
●某市標準化行政主管部門制定并發布的工業產品的安全、衛生要求的標準,在其行政區域內是__(20)__。
(20)A.強制性標準
B.推薦性標準
C.自愿性標準
D.指導性標準
●王某購買了一個“海之久”牌活動硬盤,而且該活動硬盤還包含有一項實用新型專利,那么,王某享有__(21)__。
(21)A.“海之久”商標專用權
B.該盤的所有權
C.該盤的實用新型專利權
D.前三項權利之全部
●甲企業委托軟件公司程序員王某開發管理軟件,并與王某簽訂了書面協議,但協議中未對軟件著作權歸屬做出明確的約定,其軟件著作權屬于__(22)__。
(22)A.甲企業
B.軟件公司
C.程序員王某
D.軟件公司和甲企業
●依據著作權法,計算機軟件著作權保護的對象是指__(23)__。
(23)A.計算機系統
B.計算機軟件
C.計算機硬件和軟件
D.計算機文檔
●相對于DES算法而言,RSA算法的__(24)__,因此,RSA__(25)__。
(24)A.加密密鑰和解密密鑰是不相同的
B.加密密鑰和解密密鑰是相同的
C.加密速度比DES要高
D.解密速度比DES要高
(25)A.更適用于對文件加密
B.保密性不如DES
C.可用于對不同長度的消息生成消息摘要
D.可以用于數字簽名
●在C++語言中,已知3個類O、P和Q,類O中定義了一個私有方法F1、一個公有方法F2和一個受保護的方法F3;類P和類Q是類O的派生類,其繼承方式如下所示:
class P∶protected O{…};
class Q∶public O{…};
關于方法Fl的描述中正確的是__(26)__;關于方法F2的描述中正確的是__(27)__;關于方法F3的描述中正確的是__(28)__。
(26)A.方法Fl無法被訪問
B.只有在類O內才能訪問方法F1
C.只有在類P內才能訪問方法F1
D.只有在類Q內才能訪問方法F1
(27)A.類O、P和Q的對象都可以訪問方法F2
B.類P和Q的對象都可以訪問方法F2
C.類O和Q的對象都可以訪問方法F2
D.只有在類P內才能訪問方法F2
(28)A.類O、P和Q的對象都可以訪問方法F3
B.類O、P和Q的對象都不可以訪問方法F3
C.類O的對象可以訪問方法F3,但類P的對象不能訪問方法F3
D.類P的對象可以訪問方法F3,但類Q的對象不能訪問方法F3
●正式的技術評審FTR(Formal Technical Review)是軟件工程師組織的軟件質量保證活動,下面關于FTR指導原則中不正確的是__(29)__。
(29)A.評審產品,而不是評審生產者的能力
B.要有嚴格的評審計劃,并遵守日程安排
C.對評審中出現的問題要充分討論,以求徹底解決
D.限制參與者人數,并要求評審會之前做好準備
●在繪制數據流圖時,要遵循的一個原則是父圖與子圖的平衡,所謂平衡是指__(30)__。
(30)A.父圖和子圖都不得改變數據流的性質
B.子圖不改變父圖數據流的一致性
C.父圖的輸入/輸出數據流與子圖的輸入/輸出數據流一致
D.子圖的輸出數據流完全由父圖的輸入數據流確定
●某系統的頂層DFD圖如下,其中,加工1細化后的DFD圖是__(31)__。


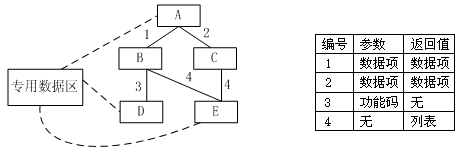
●下圖中的程序由A、B、C、D、E 5個模塊組成,下表中描述了這些模塊之間的接口,每一個接口有一個編號。此外,模塊A、D和E都要引用一個專用數據區。那么A和E之間耦合關系是__(32)__。

(32)A.公共耦合
B.數據耦合
C.內容耦合
D.無耦合
●在C++語言中,若類C中定義了一個方法int f(int a,int b),那么方法__(33)__不能與該方法同時存在于類C中。
(33)A.int f(int x,int y)
B.int f(float a,int b)
C.float f(int x,float y)
D.int f(int x,float y)
●在面向對象軟件開發過程中,采用設計模式__(34)__。
(34)A.允許在非面向對象程序設計語言中使用面向對象的概念
B.以復用成功的設計和體系結構
C.以減少設計過程創建的類的個數
D.以保證程序的運行速度達到最優值
●兩個小組獨立地測試同一個程序,第一組發現25個錯誤,第二組發現30個錯誤,在兩個小組發現的錯誤中有15個是共同的,那么可以估計程序中的錯誤總數是__(35)__個。
(35)A.25
B.30
C.50
D.60
●對于軟件的β測試,下列描述正確的是__(36)__。
(36)A.β測試就是在軟件公司內部展開的測試,由公司專業的測試人員執行的測試
B.β測試就是在軟件公司內部展開的測試,由公司的非專業測試人員執行的測試
C.β測試就是在軟件公司外部展開的測試,由專業的測試人員執行的測試
D.β測試就是在軟件公司外部展開的測試,可以由非專業的測試人員執行的測試
●__(37)__可以作為軟件測試結束的標志。
(37)A.使用了特定的測試用例
B.錯誤強度曲線下降到預定的水平
C.查出了預定數目的錯誤
D.按照測試計劃中所規定的時間進行了測試
●下面①-④是關于軟件評測師工作原則的描述,正確的判斷是__(38)__。
①對于開發人員提交的程序必須進行完全的測試,以確保程序的質量
②必須合理安排測試任務,做好周密的測試計劃,平均分配軟件各個模塊的測試時間
③在測試之前需要與開發人員進行詳細的交流,明確開發人員的程序設計思路,并以此為依據開展軟件測試工作,最大程度地發現程序中與其設計思路不一致的錯誤
④要對自己發現的問題負責,確保每一個問題都能被開發人員理解和修改。
(38)A.①、②
B.②、③
C.①、③
D.無
●在軟件生命周期的不同階段,需要實施不同類型的測試工作,單元測試是對程序設計進行驗證,其中__(39)__不是單元測試的主要內容。在進行單元測試過程中,通常測試工程師都需要借助__(40)__來代替所測模塊調用的子模塊;在單元測試的基礎上,需要將所有模塊按照概要設計和詳細設計說明書的要求進行組裝,模塊組裝成系統的方式有兩種,分別是__(41)__
(39)A.模塊接口測試
B.有效性測試
C.路徑測試
D.邊界測試
(40)A.樁模塊
B.驅動模塊
C.樁模塊和驅動模塊
D.存根模塊和驅動模塊
(41)A.一次性組裝和增殖性組裝
B.自頂向下組裝和自底向上組裝
C.單個模塊組裝和混合模塊組裝
D.接口組裝和功能組裝
●黑盒測試是通過軟件的外部表現來發現軟件缺陷和錯誤的測試方法,具體地說,黑盒測試用例設計技術包括__(42)__等。現有一個處理單價為1元的盒裝飲料的|動售貨機軟件,若投入1元幣,按下“可樂”、“雪碧”或“紅茶”按鈕,相應的飲料房送出來,若投入的是2元幣,在送出飲料的同時退還1元幣。下表是用因果圖法設計E部分測試用例,1表示執行該動作,0表示不執行該動作,__(43)__的各位數據,從2到右分別填入空格表中的(1)-(8)是正確的。

(42)A.等價類劃分法、因果圖法、邊界值分析法、錯誤推測法、判定表驅動法
B.等價類劃分法、因果圖法、邊界值分析法、正交試驗法、符號法
C.等價類劃分法、因果圖法、邊界值分析法、功能圖法、基本路徑法
D.等價類劃分法、因果圖法、邊界值分析法、靜態質量度量法、場景法
(43)A.01001100
B.01101100
C.01001010
D.11001100
●多條件覆蓋是一種邏輯覆蓋,它的含義是設計足夠的測試用例,使得每個判員中條件的各種可能組合都至少出現一次,滿足多條件覆蓋級別的測試用例也是滿足__(44)__級別的;針對布爾表達式A&&(B||C)執行邏輯覆蓋測試,測試用例至少需要__(45)__種組合才能滿足多條件覆蓋的要求。
(44)A.語句覆蓋、判定覆蓋、條件覆蓋、條件判定組合覆蓋
B.判定覆蓋、條件覆蓋、條件判定組合覆蓋、修正條件判定覆蓋
C.語句覆蓋、判定覆蓋、條件判定組合覆蓋、修正條件判定覆蓋
D.路徑覆蓋、判定覆蓋、條件覆蓋、條件判定組合覆蓋
(45)A.6
B.4
C.8
D.12
●典型的軟件測試過程模型有__(46)__等,在這些模型中,__(47)__強調了測試計劃等工作的先行和對系統需求和系統設計的測試,__(48)__對軟件測試流程予以了說明。
(46)A.V模型、W模型、H模型、漸進模型
B.V模型、W模型、H模型、螺旋模型
C.X模型、W模型、H模型、前置測試模型
D.X模型、W模型、H模型、增量模型
(47)A.Ⅴ模型
B.W模型
C.漸進模型
D.螺旋模型
(48)A.Ⅴ模型
B.W模型
C.H模型
D.增量模型
●下述關于錯誤處理流程管理的原則__(49)__的說法是不正確的。
(49)A.為了保證正確地定位錯誤,需要有豐富測試經驗的測試人員驗證發現的錯誤是否是真正的錯誤,并且驗證錯誤是否可以再現
B.每次對錯誤的處理都要保留處理信息,包括處理人姓名、處理時間、處理方法、處理意見以及錯誤狀態
C.錯誤修復后必須由報告錯誤的測試人員確認錯誤已經修復,才能關閉錯誤
D.對于無法再現的錯誤,應該由項目經理,測試經理和設計經理共同討論決定拒絕或者延期
●GB/T16260-2003《軟件工程產品質量》規定的軟件產品使用質量特性包括__(50)__。
(50)A.適應性、生產率、可靠性、滿意度
B.有效性、生產率、安全性、滿意度
C.有效性、可靠性、適應性、滿意度
D.適應性、適用性、效率、滿意度
●軟件可靠性是指在指定的條件下使用時,軟件產品維持規定的性能級別的能力,其子特性__(51)__是指在軟件發生故障或者違反指定接口的情況下,軟件產品維持規定的性能級別的能力。
(51)A.成熟性
B.易恢復性
C.容錯性
D.可靠性依從性
●GB/T18905-2002《軟件工程產品評價》中確定的通用評價過程包括四個方面,即:確立評價需求,規定評價,設計評價和執行評價,其中有關“規定評價”部分包含的內容有__(52)__。
(52)A.選擇度量、建立度量評定等級、確立評估準則
B.指定質量模型、選擇度量、建立度量評定等級
C.選擇度量、建立度量評定等級、制定評價計劃
D.確定產品類型、選擇度量、建立度量評定等級
●GB/T18905-2002《軟件工程產品評價》提供了軟件產品評價的過程,其中GB/T18905-2002《軟件工程產品評價》第五部分評價者用的過程供__(53)__。
(53)A.計劃獲取或復用某個己有的軟件產品的組織予以使用
B.對軟件產品執行獨立評估的評價者使用
C.計劃開發新產品或增強現有的產品,以及打算利用他們自己的技術人員進行產品評價的組織使用
D.編制評價模塊的文檔提供指南
●用邊界值分析法,假定X是整數,則10≤X<100,那么X在測試中應該取的邊界值是__(54)__。
(54)A.X=10,X=100
B.X=9,X=10,X=99,X=100
C.X=11,X=99
D.X=10,X=101
●導致軟件缺陷的原因有很多,①-④是可能的原因,其中最主要的原因包括__(55)__。
①軟件需求說明書編寫的不全面,不完整,不準確,而且經常更改
②軟件設計說明書
③軟件操作人員的水平
④開發人員不能很好的理解需求說明書和溝通不足
(55)A.①、②、③
B.①、③
C.②、③
D.①、④
●關于軟件質量的描述,正確的是__(56)__。
(56)A.軟件質量是指軟件滿足規定用戶需求的能力
B.軟件質量特性是指軟件的功能性、可靠性、易用性、效率、可維護性、可移植性
C.軟件質量保證過程就是軟件測試過程
D.以上描述都不對
●對于業務流清晰的系統可以利用__(57)__貫穿整個測試用例設計過程,在用例中綜合使用各種測試方法,對于參數配置類的軟件,要用__(58)__選擇較少的組合方式達到最佳效果,如果程序的功能說明中含有輸入條件的組合情況,則一開始就可以選用__(59)__和判定表驅動法。
(57)A.等價類劃分
B.因果圖法
C.正交試驗法
D.場景法
(58)A.等價類劃分
B.因果圖法
C.正交試驗法
D.場景法
(59)A.等價類劃分
B.因果圖法
C.正交試驗法
D.場景法
●邏輯路徑覆蓋法是白盒測試用例的重要設計方法,其中語旬覆蓋法是較為常用的方法,針對下面的語句段,采用語句覆蓋法完成測試用例設計,測試用例見下表,對表中的空缺項(True或者False),正確的選擇是__(60)__。
語句段:
if(A&&(B||C))x=1;
else x=0;
用例表:

(60)A.①FALSE②FALSE③FALSE
B.①TRUE②FALSE③FALSE
C.①FALSE②FALSE③TRUE
D.①TRUE②TRUE③FALSE
●__(61)__方法根據輸出對輸入的依賴關系設計測試用例。
(61)A.路徑測試
B.等價類
C.因果圖
D.邊界值
●針對下面程序段,邊界值問題可以定位在__(62)__。
1:Rem Create a l0 element integer array
2:Rem Initialize each element to-1
3:Dim data(l 0)As Integer
4:Dim i As Integer
5:For i=l TO l0
6:data(i)=-1
7:Next i
8:End
(62)A.data(1)
B.data(0)
C.data(9)
D.data(10)
●以下控制流圖的圈復雜度V(g)和基本圈復雜度EV(g)是__(63)__。

(63)A.V(g)=5,EV(g)=l
B.V(g)=6,EV(g)=6
C.V(g)=5,EV(g)=5
D.V(g)=6,EV(g)=l
●在網絡應用測試中,網絡延遲是一個重要指標。以下關于網絡延遲的理解,正確的是__(64)__。
(64)A.指響應時間
B.指報文從客戶端發出到客戶端接收到服務器響應的間隔時間
C.指報文在網絡上的傳輸時間
D.指從報文開始進入網絡到它開始離開網絡之間的時間
●為保證測試活動的可控性,必須在軟件測試過程中進行軟件測試配置管理,一般來說,軟件測試配置管理中最基本的活動包括__(65)__。
(65)A.配置項標識、配置項控制、配置狀態報告、配置審計
B.配置基線確立、配置項控制、配置報告、配置審計
C.配置項標識、配置項變更、配置審計、配置跟蹤
D.配置項標識、配置項控制、配置狀態報告、配置跟蹤
●Originally introduced by Netscape Communications,__(66)__are a general mechanism which HTTP Server side applications,such as CGI __(67)__,can use to both store and retrieve information on the HTTP__(68)__side of the connection。Basically,Cookies can be used to compensate for the __(69)__nature of HTTP。The addition of a simple,persistent,client-side state significantly extends the capabilities of WWW-based__(70)__.
(66)A.Browsers
B.Cookies
C.Connections
D.Scripts
(67)A.graphics
B.processes
C.scripts
D.texts
(68)A.Client
B.Editor
C.Creator
D.Server
(69)A.fixed
B.flexible
C.stable
D.stateless
(70)A.programs
B.applications
C.frameworks
D.constrains
●WebSQL is a SQL-like __(71)__ language for extracting information from the web.Its capabilities for performing navigation of web__(72)__ make it a useful tool for automating several web-related tasks that require the systematic processing of either all the links in a__(73)__,all the pages that can be reached from a given URL through __(74)__that match a pattern,or a combination of both.WebSQL also provides transparent access to index servers that can be queried via the Common__(75)__Interface.
(71)A.query
B.transaction
C.communication
D.programming
(72)A.browsers
B.servers
C.hypertexts
D.clients
(73)A.hypertext
B.page
C.protocol
D.operation
(74)A.paths
B.chips
C.tools
D.directories
(75)A.Router
B.Device
C.Computer
D.Gateway
軟考備考資料免費領取
去領取
專注在線職業教育24年